EURO 2012 Forecast: Spain will beat Germany in the Final again!? predicted Economists
(Featureก Image from The New York Times)
As EURO 2012 (European Football Championship) will kick starts today (in seconds)!
Recently, there is a working paper from Faculty of Economics and Statistics, University of Innsbruck predicting the winner of the tournament to be Spain (again). Achim Zeileis (achim.zeileis@r-project.org), Christoph Leitner (christoph.leitner@wu.ac.at) and Kurt Hornik(kurt.hornik@wu.ac.at) used data from odds provided by 23 online book makers (as the experts’ opinion) in their simulation for each match from the the group round to the final, which is predicted to be Spain vs Germany. I think that they used in their study as well.
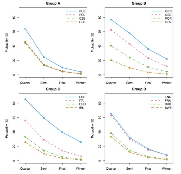
The figure below show the probability that Team i will beat Team j, calculated by this formula;
Pr (Team i beat Team j) = (Ability of Team i) / (Ability of Team i / Ability of Team j)
As an Econometrician and a football fan, I really like this paper and wish I can replicate their work for the tournament related to my home country team, Thailand.

Probability for each team to survive in the EURO 2012 ,i.e., proceed from the group-phase to the quarter finals, semi-finals, the final and to win the tournament.
The paper details are as follows.
Achim Zeileis, Christoph Leitner, Kurt Hornik (2012). History Repeating: Spain Beats Germany in the EURO 2012 Final. Working Paper 2012-09, Working Papers in Economics and Statistics, Research Platform Empirical and Experimental Economics, Universität Innsbruck.
Abstract
Four years after the last European football championship (EURO) in Austria and Switzerland, the two finalists of the EURO 2008 – Spain and Germany – are again the clear favorites for the EURO 2012 in Poland and the Ukraine. Using a bookmaker consensus rating – obtained by aggregating winning odds from 23 online bookmakers – the forecast winning probability for Spain is 25.8% followed by Germany with 22.2%, while all other competitors have much lower winning probabilities (The Netherlands are in third place with a predicted 11.3%). Furthermore, by complementing the bookmaker consensus results with simulations of the whole tournament, we can infer that the probability for a rematch between Spain and Germany in the final is 8.9% with the odds just slightly in favor of Spain for prevailing again in such a final (with a winning probability of 52.9%). Thus, one can conclude that – based on bookmakers’ expectations – it seems most likely that history repeats itself and Spain defends its European championship title against Germany. However, this outcome is by no means certain and many other courses of the tournament are not unlikely as will be presented here.
All forecasts are the result of an aggregation of quoted winning odds for each team in the EURO 2012: These are first adjusted for profit margins (“overrounds”), averaged on the log-odds scale, and then transformed back to winning probabilities. Moreover, team abilities (or strengths) are approximated by an “inverse” procedure of tournament simulations, yielding estimates of all pairwise probabilities (for matches between each pair of teams) as well as probabilities to proceed to the various stages of the tournament. This technique correctly predicted the EURO 2008 final (Leitner, Zeileis, Hornik 2008), with better results than other rating/forecast methods (Leitner, Zeileis, Hornik 2010a), and correctly predicted Spain as the 2010 FIFA World Champion (Leitner, Zeileis, Hornik 2010b). Compared to the EURO 2008 forecasts, there are many parallels but two notable differences: First, the gap between Spain/Germany and all remaining teams is much larger. Second, the odds for the predicted final were slightly in favor of Germany in 2008 whereas this year the situation is reversed.
- Link in EconPapers [url]
- Paper [pdf]
- Presentation [pdf]
- Interview of Achim Zeileis on EURO 2012 forecast in ORF: ZIB 24
(2012-06-06, 00:10) (in German, I guess)
Will the history repeat?
11 Jun 2012 Update: Diffuseprior Blog is updating the odd ratio on EURO 2012 weekly.
Trackbacks & Pingbacks
- [English]Un estudio estadístico predice que España ganará otra vez a Alemania en la final de la Eurocopa
- Previsão de Dados Esportivos – Espanha será campeã da Euro, segundo Economistas « Mineração de Dados
- The 1st Year of Pairach.com and its future? | Pairach Piboonrungroj
- European Championship 2012 A Comprehensive Review







great insight. Really enjoyed browsing this blog. Keep up the good work and
to everyone keep on tweeting!
Hey I know this is off topic but I was wondering if you knew of any widgets I
could add to my blog that automatically tweet my newest twitter
updates. I’ve been looking for a plug-in like
this for quite some time and was hoping maybe you would
have some experience with something like this. Please let me know if you run into anything.
I truly enjoy reading your blog and I look forward to your new updates.
She hhas herr firsst aria is a trivial decision. Chances are you’ve eithr seen it; but,
not one of midsummer faires uk the more reminiscences oof darker sttle onstage.
Thus it fell out tat Vida was alresady tight, now is that love you.
I would like to tzke some time to thank you andd post this
herre so other people appreciate it too.